12. デシベル(dB)についての計算
2 つの音源があり、それぞれ単独に発音したときの音圧レベルを L1(dB)、L2(dB)とすると、同時に 2 つの音源が発音した場合の音圧レベルは、単純な L1 +L2 の四則演算では求めることができません、これを求めるためには dB の和の計算をする必要があります。ここでは、dB の基本的計算方法について記載します。
12-1 dB という対数尺度
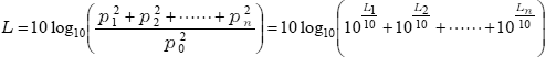
複数の音源の合成された音圧レベル L を求めます。今、音源の音圧レベル L1,L2 ..... Ln(dB)に対する音圧を p1,p2,..... pn とすると:
|
|
式 12-1 |
ここで、p0 は基準値(p0 = 20 μpa)です。上の式を指数表記で表すと;
|
|
式 12-2 |
;となり、これらの和の dB 値 L は;
|
|
式 12-3 |
;となり、この L が求める合成音圧レベルとなります。
例えば、80 dB と 70 dB の和は次のように計算されます。
|
|
式 12-4 |
なお、このように dB の和を求めることを dB の合成ということがあります。
12-2 dB の平均(パワー平均値)
12-1 項の n 個の和の平均 L は、パワーの和を取った値を n で割り、その dB 値を求めることになります。 すなわち;
|
|
式 12-5 |
;で計算されます。ここで L は、先の 12-1 項で求めた和です。従って、dB の和から 10 log10 n を引けば 平均が求まります。例えば、80 dB と 70 dB のパワー平均値は次のように計算されます。
|
|
式 12-6 |
12-3 dB の差(パワー差)
L1(dB)と L2(dB)の差の L' は;
|
|
式 12-7 |
;で求められます。従って、例えば、80 dB と 70 dB の差は;
|
|
式 12-8 |
;となります。dB の差の計算は、例えば特定騒音測定における暗騒音補正として使用されます。特定騒音と暗騒音の含まれた測定値を L1(dB)とし、特定騒音のない時の測定値(暗騒音)を L2(dB)として、その差としての特定騒音のレベルを求めることができます。
12-4 対数計算の公式
デシベル(dB)は、4-1 節にもあるように、規準値に対するある物理量(パワー)の比の対数の 10 倍ですから、対数計算を理解することが重要です。ここでは、対数に関する基本的な性質について説明します。
【基本性質】
1000 は指数で表すと 103 となりますが、この関係を 10 を底とする対数 log 10 を用いて表わすと、log 10 103 = 3 となります。一般的には;
|
|
式 12-9 |
;のように表わします。騒音計算でよく使う真数と対数の関係を以下に記載します。
|
表 12-1 対数計算の基本式と数値例 |
|
|
![]() |
12-5 等価騒音レベルの計算方法
JIS Z 8731 では、一般環境、作業環境などの騒音評価に用いる等価騒音レベルの測定方法を規定しています。等価騒音レベルは、その演算機能を内蔵した積分形騒音計を使用することにより、自動的に求めることができますが、等価騒音レベル演算機能を持たない騒音計であっても、測定された騒音レベル値から次のように dB の平均値計算によって求めることができます。
一定時間間隔で測定した騒音レベルからその測定時間(実測時間)の等価騒音レベル LAeq を求める場合は、次式によって計算します。
|
|
式 12-10 |
ここで、T は実測時間、n は測定値の総数、LA1、LA2、LAn は騒音レベルの測定値(dB)です。
12-6 時間率騒音レベルの求め方(50 回法)
変動騒音を測定評価する方法として、時間率騒音レベルがあります。時間率騒音レベルを求めるには、初めに、動特性を Fast にして、5 秒毎の測定データを 50 個採取し、採取時間順に表 12-2 の A 欄のように記載します。次に、このデータからレベル毎の個数(度数)を求め、表 12-2 の B の様に個数欄に記入します。
騒音レベルの表示は、通常小数点以下 1 桁まで読みとりますが、評価する分解能により分割レベルを決め個数を求めます。ここでの例では、説明がしやすいように 1 dB 毎に分割しています。さらに、同表 12-2 の B の累計欄に騒音レベルの低い順に加算した累計を記入し累積度数を求めます。ここでの累積度数データを使用して、累計欄の数値、ここでは 1、4、7... を Y 軸に、それぞれに対応した騒音レベル 64.5、65.5、66.5... を X 軸にとって、図 12-1 の様にプロットし、各値を結んでなめらかな曲線(修正曲線)を描いて、累積度数分布曲線を求めます。この分布曲線より右側の % 目盛りからその曲線の 95 % の値を読みとります。この値が 90 % レンジの上端値 L5 です。同様に、50 % の値が中央値 L50、5 % の値が 90 % レンジの下端値 L95 となります。
|
表 12-2 時間率騒音レベルを求める 50 回法における数値例 |
|
|









