5.フーリエ変換とフーリエ級数の性質

今一度、フーリエ変換・フーリエ級数に立ち戻り、そこから導き出される性質についての検証から入ります。数式が多数出てきますが、式そのものはあえて覚える必要はありません。数式は FFTアナライザーが内部で処理してくれます。ここでは、式の持つ意味を理解してください。
なお、本項並びに次項で取り上げる内容は、その次に述べるウィンドウ処理(Window function)を理解し、使いこなす上で基礎となる部分です。

最初に、復習を兼ねて、フーリエ変換側からフーリエ級数を考えてみます。

5.1 偶関数と奇関数

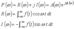
フーリエ変換とその逆変換を表す式は、これまでの話の中で係数 1/T をどのように扱うかによって様々に表現されてきましたが、一般的には;

 

(式5-1)

 

で記述されます。

ここで、f  (t) を実関数とすると式 5-1 は;

 

(式5-2)

 

と書き換えることができ、R  (ω) (ω) をそれぞれ実数部、虚数部とすると;

 

(式5-3)

 

と置くことが出来ます。

次に下図 5-1のような関数 f1 (t)fe (t)f (t) を考えてみます。図 5-1の2番目の関数 fe (t) は、0を中心に f1 (t)/2 が対称の関係があり;

 

(式5-4)

 

が成り立ち、また次のように表すことが出来ます。

(式5-5)

 

このような関数を偶関数と言い、cos ωt はその代表例です。また、図 5-1の3番目の関数 f0 (t) は0を中心に点対称の関係にあり;

(式5-6)

 

が成り立ち、同様に:

(式5-7)

 

このような関数を奇関数と言い、sin ωt はその代表例です。

 

イラスト(実関数、偶関数、奇関数)

図5-1

 

さらに、この2つの関係から;

(式5-8)

 

が成り立つことも理解できると思います。

図からも予想できるように、その積分は;

 

(式5-9)

 

となり、偶関数、奇関数の積分がどうなるかを示しています。奇関数の積分は 0 になること(0 になるから計算しやすくなる)に注目してください。

一般に:

(奇関数)×(奇関数)=偶関数

(偶関数)×(偶関数)=偶関数

(奇関数)×(偶関数)=奇関数

 

 

fe (t) は偶関数ですので fe (t) cos ωt は偶関数、fe (t) sin ωt は奇関数となり、このフーリエ変換は式 5-2、式 5-3より;

(式5-10)

 

 

です。また、Re (ω) の逆フーリエ変換は、同様に;

(式5-11)

 

 

となります。これは逆にいうと実関数 fe (t) のフーリエ変換が実関数ならば、fe (t) は偶関数であることを表しています。

同様に、f0 (t) についても;

(式5-12)

 

 

となり、実関数 f0 (t) のフーリエ変換が純虚数関数なら、f0 (t) は奇関数になります。

次に (t) について考えると、fe (t) f0 (t) のフーリエ変換をそれぞれ Fe(ω)F0(ω) とすると式 5-3は;

(式5-13)

 

 

となり、上記フーリエ変換の実関数/フーリエ逆変換の偶関数と同純虚数関数/同奇関数の関係から;

 

 

であることがわかります。以上をまとめたのが次式 5-14です。(フーリエ変換対を ←→ で表しています)

(式5-14)

 

 

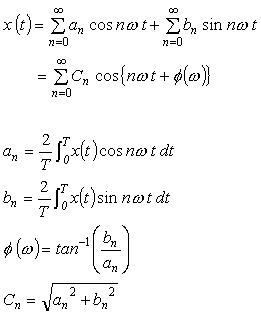
この式と、前号で示したフーリエ級数とその成分を求める式;

(式5-15)

 

 

とを対比させてみると、次の関係を持っていることがわかります。

(式5-16)

 

FFT アナライザーでは、フーリエスペクトラムの離散的数値列として anbn が表示されますが、anbn を数式で表記したのが R (ω)I (ω) で、R (ω) が実数部を示し偶関数、I (ω) は虚数部を示し奇関数となります。この関係を模式的に示したのが次図 5-2です。また、an2 + bn2 = Cn2 Cn2 はこの対数を取ってパワースペクトルとして表示され、φ ω)は位相スペクトルとして表示されることは、前号で説明した通りです。

 

イラスト(フーリエスペクトラムの離散的数値列)

図5-2