No.10 Frequency weighting A, C, and Z
There is a setting item called "Frequency weighting (A/C/Z)" when measuring sound with a sound level meter or FFT analyzer. We receive many questions such as "What is A?" or "When should C be used?" etc. This time, I will explain the frequency weighting (A/C/Z) for measuring sound and the background how A / C / Z weighting are defined.
Auditory sensation and Loudness level
Sound is a phenomenon caused by fluctuations in air pressure. Even if sounds have the same amount of pressure fluctuation, humans do not feel that they are the same loudness if sounds have different frequencies. Therefore, in order to evaluate the loudness of sound perceived by humans, it is necessary to understand the auditory sensation and consider its characteristics. In steady sounds, the sound pressure level of a pure tone of 1 kHz that a human with normal auditory sensation judges to hear the same loudness is defined as the "loudness level". The measurement of frequency characteristics of auditory sensation was performed by Fletcher-Munson, and then performed again by Robinson F in 1957. The figure 1 shows the relationship between sound pressure level and frequency in the blue curve (previous standard). This curve is called equal-loudness curve or equal-sensitivity curve. After that, it was found that the equal-loudness curve measured by Robinson contained great errors. Finally, the new equal-loudness curve was internationally standardized as ISO 226 in 2003. The new curve is shown in red, figure 1.

What is Frequency weighting A characteristics?
The A-weighting is a frequency weighting characteristics specified in JIS C1509 for measuring the noise level. The A-weighting is used when measuring noise in factories and roads, or when it is specified to measure noise level and A-weighted sound pressure level.
The frequency weighting A characteristics (A-weighting) is said to be approximate auditory sensation, however, does not exactly reflect it.
The A-weighting is a characteristic created by approximating smaller sound of the equal-loudness curve (previous standard) for pure tone in Fig. 1. There is also a C-weighting created by approximating louder sound the equal-loudness curve.
In the past, it was measured by using these characteristic according to the loudness of sound. It was fund that A-weighting is more suitable for measuring noise level than C-weighting even if sound is loud.
In 2003, the new equal-loudness curve was internationally standardized as ISO 226, however, the A-weighting created by approximating the previous standard of equal-loudness curve has not been changed and used as it is.
What is Frequency weighting C characteristics?
The C-weighting is a characteristic created by approximating louder sound of the equal-loudness curve (previous standard). The A-weighting curve has been used to represent the noise level, and the C-weighting has been rarely used. However, some European standards specify the usage of the C-weighting in some measurements.
In addition, it may be used to avoid the effects of background noise when a sound level meter or a microphone is calibrated with a sound calibrator. Actually, unless the background noise is considerably great, there is no effect even if the calibration is performed with the Z-weighting, but if the frequency of the calibration signal is other than 1 kHz, the effect of background noise cannot be ignored, thus the A-weighting is not used for calibration anyway.
What is Frequency weighting Z characteristics?
The Z-weighting is a frequency weighting characteristic that has a flat characteristic in the specified frequency range. It is used to measure the physical phenomenon of sound (pressure fluctuation), regardless of auditory sensation.
In addition, there are general-purpose analyzers that can be used to measure sound, vibration, voltage, etc., and have frequency weighting characteristics (A / C / Z) for sound measurement. Always use the Z-weighting when analyzing anything other than sound with those analyzers.
The Z-weighting is a characteristic defined as a flat characteristic (FLAT) in JIS C1502 / 1505 which is the previous standard for sound level meters. In the new standard JIS C 1509, the frequency range has been expanded 10 Hz to 20 kHz and specified as the frequency weighting characteristic Z.
Other Frequency weighting characteristics
Other frequency weighting characteristics used in sound measurement include the B and D weighting, which are rarely used today, and the G-weighting, which is used when evaluating infrasound.
Values of frequency weighting characteristics A/C/Z
Tables 1 and Figure 2 show the values of the frequency weighting characteristics A / C / Z specified in JIS C1509.
Table 1 Frequency weighting characteristics A / C / Z (1/3 octave band)


Fig.2 Frequency weighting characteristics A / C / Z
The nominal frequency is the center frequency of each 1/3 octave band, which is an approximate frequency. The exact frequency is the exact center frequency value of each band calculated by Equation 1 with band number n as an integer between 10 and 32.

Calculation for frequency weighting characteristics A/C/Z
The calculation for the frequency weighting characteristics A / C / Z are specified in JIS C1509 as Equation (2) to (4). f is the frequency [Hz].

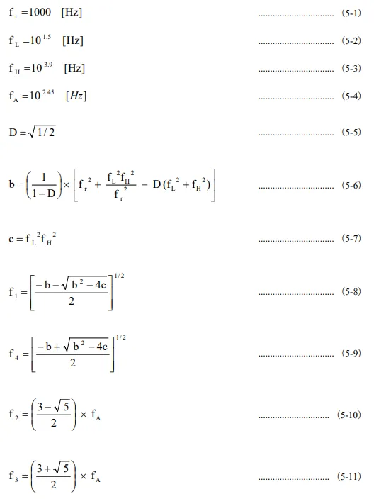
Each constant is as follows.

A1000 and C1000 are standardized constants for the frequency weighting characteristics at 1 kHz to be 0 dB.
Summary
In this column, I have explained about the frequency weighting (A/C/Z) for measuring sound. I will explain about the frequency weighting more in the next column.
(Y·K)